12821 produits - Trié par pertinence
![Mouse/Rat FGF-acidic/FGF1 Recombinant Protein 10 µg]()
Réf. UGAP : 4042038 Réf. constructeur : 35490S
![P450-Glo CYP2C8 Assay 50 ml]()
Réf. UGAP : 4049611 Réf. constructeur : V8782

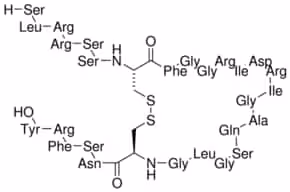
Réf. UGAP : 3738108 Réf. constructeur : P9114-1MG

Réf. UGAP : 3739477 Réf. constructeur : A8208-.1MG

Réf. UGAP : 3739533 Réf. constructeur : 189725-100MG

Réf. UGAP : 3648167 Réf. constructeur : BMS346-2

Réf. UGAP : 4043004 Réf. constructeur : STA-333

Réf. UGAP : 4042153 Réf. constructeur : 5223SF

Réf. UGAP : 3713894 Réf. constructeur : 622597

Réf. UGAP : 3713738 Réf. constructeur : 554594

Réf. UGAP : 4042985 Réf. constructeur : STA-309

Réf. UGAP : 4248104 Réf. constructeur : 509032

Réf. UGAP : 3713756 Réf. constructeur : 555111

Réf. UGAP : 3689524 Réf. constructeur : 750706

Réf. UGAP : 3689410 Réf. constructeur : 589102